• Предмет: Алгебра
  • Автор: Vaimoze
  • Вопрос задан 2 года назад

Помогите решить
6 задание​

Приложения:

Ответы

Ответ дал: LosKxDD
1
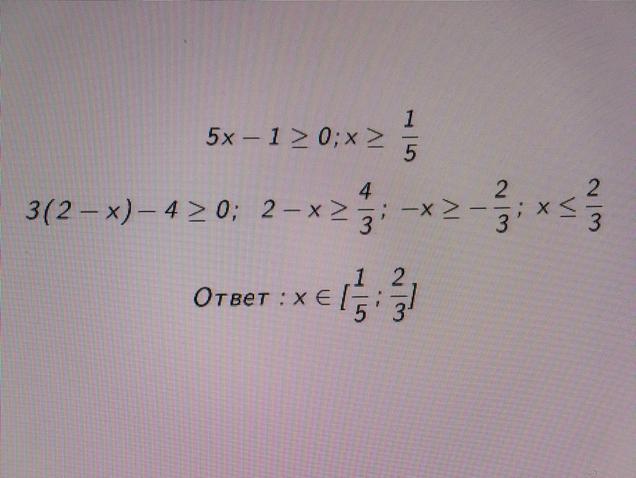
Пользуемся тем, что это выражение имеет смыл тогда и только тогда, когда корень этого выражения будет больше , либо равен нулю. Из этого следует нахождения ОДЗ для каждого корня, что и видно на фотографии.
Приложения:

Vaimoze: в ответе не то
Vaimoze: [1/4;1/2]
Вас заинтересует