Помогите, пожалуйста, решить математику
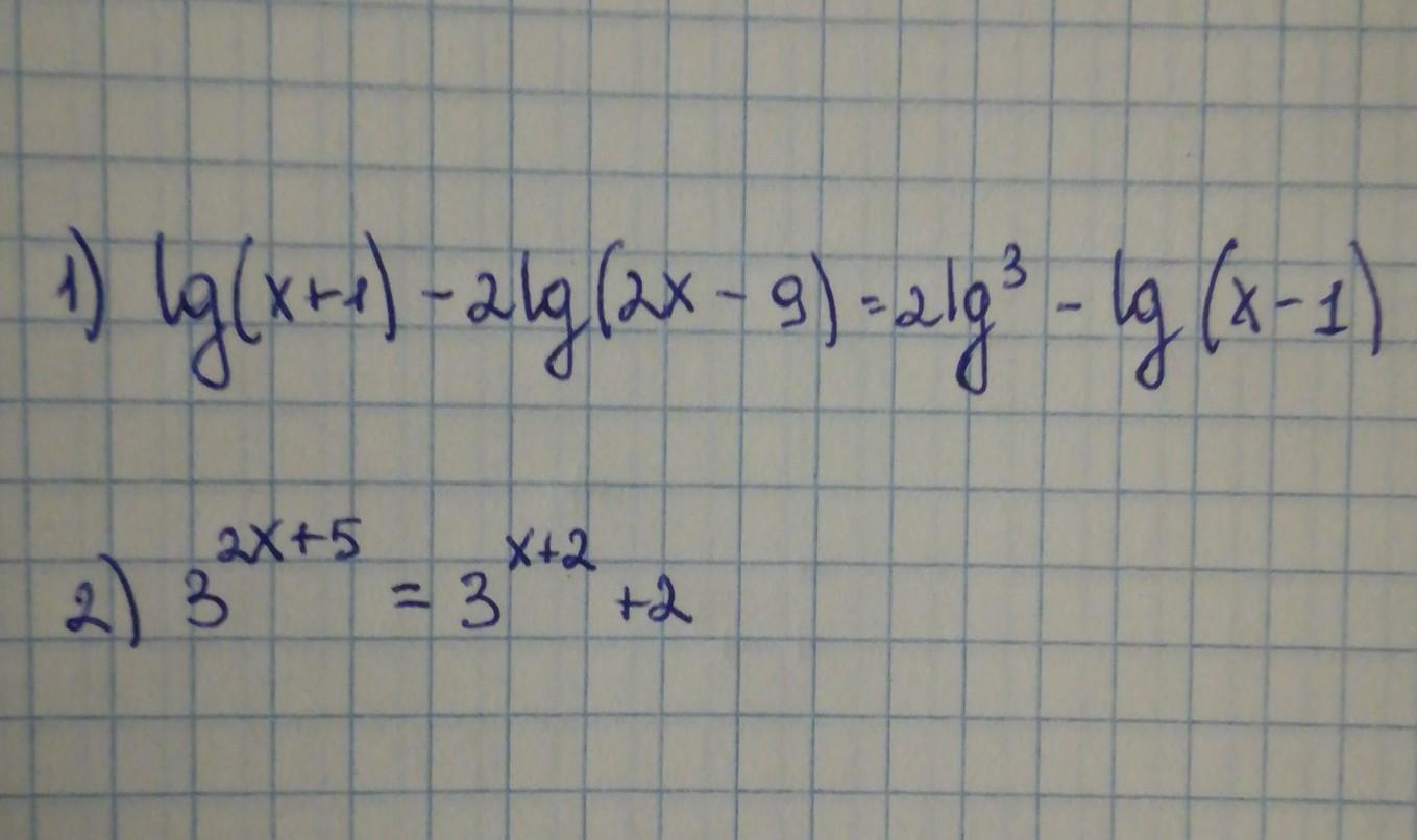
1) lg(x+1) - 2lg (2x - 9) = 2lg^3 - lg(x - 1)
2) 3^2x+5 = 3^x+2 +2
Приложения:

Ответы
Ответ дал:
1
1) Не совсем понятно, что за lg^3, может быть просто lg3?
2) Честно, не помню, как решаются эти уравнения, но если представить, что y=3^2x+5 и y=3^(x+2) +2, как монотонно возрастающие функции, то решением этого уравнения будет одно значение х=-2. Ну или просто построй графики и там будет точка пересечения этих графиков (-2;3). Ответ по-прежнему -2.
2) Честно, не помню, как решаются эти уравнения, но если представить, что y=3^2x+5 и y=3^(x+2) +2, как монотонно возрастающие функции, то решением этого уравнения будет одно значение х=-2. Ну или просто построй графики и там будет точка пересечения этих графиков (-2;3). Ответ по-прежнему -2.
Вас заинтересует
1 год назад
1 год назад
1 год назад
3 года назад
3 года назад