Помогите решить пожалуйста.Желательно с полным расписание решения.
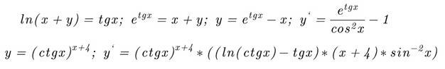
Вычислить производные указанных функций.
Приложения:

Ответы
Ответ дал:
0
Вот ваши производные. Тут ничего сложного нет, главное не запутаться при раскрытии сложной производной.
Приложения:

arkadiysudakov00:
Хм.а разве тут не надо строить график функий ?
Вас заинтересует
1 год назад
1 год назад
1 год назад
3 года назад
8 лет назад