• Предмет: Физика
  • Автор: toha6695
  • Вопрос задан 2 года назад

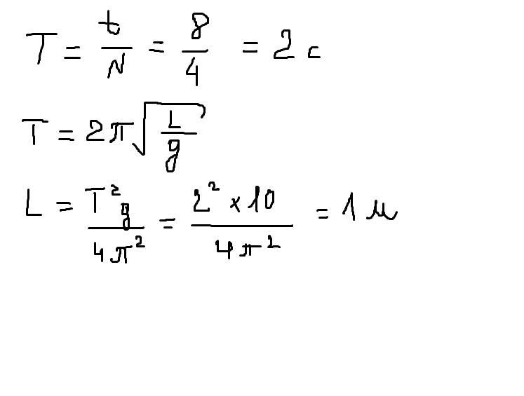
определить длину математического маятника, совершающего четыре полных полебания за время, равное 8с​

Ответы

Ответ дал: typik01
1

Ответ:

≈ 1 метр

Объяснение:

Решение на фото

Приложения:
Вас заинтересует