Ответы
Ответ дал:
0
Номер 1
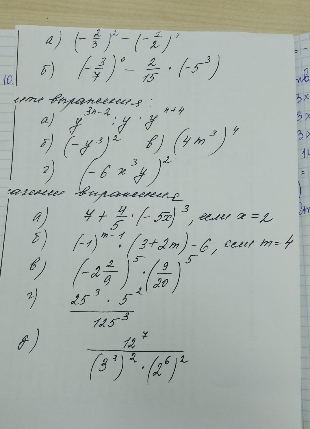
А) (-2/3)^2-(-1/2)^3= 4/9-(-1/8)=4/9+1/8=41/72
Б) (3/7)^0-2/15*(-5)^3= 1+2/15*125=1+2/3*25=53/3=17 2/3
А) (-2/3)^2-(-1/2)^3= 4/9-(-1/8)=4/9+1/8=41/72
Б) (3/7)^0-2/15*(-5)^3= 1+2/15*125=1+2/3*25=53/3=17 2/3
Ответ дал:
0
Ответ:
надеюсь, что хоть чем-то помогла
Приложения:


Вас заинтересует
1 год назад
1 год назад
1 год назад
3 года назад
8 лет назад