Ответы
Ответ дал:
0
Ответ:
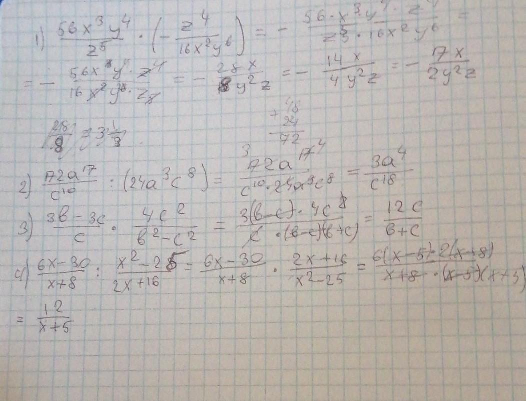
1) ((56 * x^3 * y^4) / (z^5)) * ((-z^4) / (16 * x^2 * y^6)) = -(56 * x^3 * y^4 * z^4 / z^5 * 16 * x^2 * y^6 = -(7x/(2y^2*z))
Объяснение:
В этих заданиях нужно знать следующее:
•a^2 - b^2 = (a - b)(a + b) - это одно из формул сокращенного уравнения (ФСУ) так называется тема. можешь посмотреть
пример: x^2 - 25 = x^2 - 5^2 = (x - 5)*(x + 5)
•a^n / a^b = a^(n - b)
пример: 5^4 / 5^2 = 5^(4 - 2) = 5^2
Приложения:

nyashka3221:
Спасибо!
Ответ дал:
0
Вас заинтересует
1 год назад
1 год назад
1 год назад
1 год назад
3 года назад
3 года назад
8 лет назад
8 лет назад