Запишите «Дано». Сделайте иллюстрацию к задаче. Выведите формулу для искомой величины, сопроводив свое решение комментариями, а затем получите численное значение.
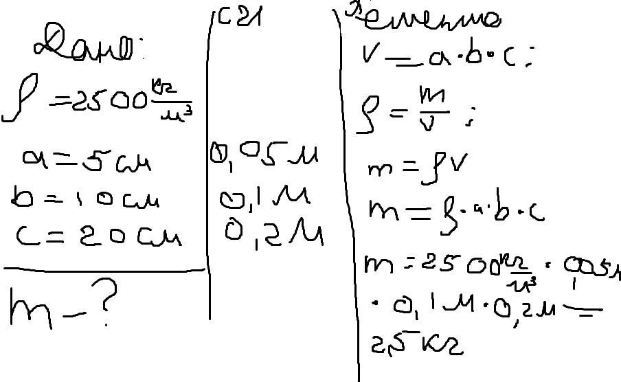
Прямоугольный параллелепипед из стекла с плотностью ρ = 2500 кг/м3 имеет следующие размеры: толщина а = 5 см, длина b = 10 см, высота с = 20 см. Какую массу имеет параллелепипед?
Ответы
Ответ дал:
6
Ответ:
Всё у меня на картинках из пеинта, извиняюсь зя почерк)
Объяснение:
Приложения:


mama8916750220p41fq4:
Что написано в крайнем столбце (правом)?
Вас заинтересует
1 год назад
1 год назад
1 год назад
1 год назад
3 года назад
3 года назад
8 лет назад