• Предмет: Алгебра
  • Автор: viktoriakuzevanova41
  • Вопрос задан 2 года назад

100баллов!
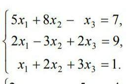
решить средствами матричного исчисления​

Приложения:

Ответы

Ответ дал: NNNLLL54
0

\Delta =\left|\begin{array}{ccc}5&8&-1\\2&-3&2\\1&2&3\end{array}\right|=5(-9-4)-8(6-2)-(4+3)=-104\ne 0\\\\\\A_{11}=-13\; \; ,\; \; A_{12}-4\; \; ,\; \; A_{13}=7\\\\A_{21}=-26\; \; ,\; \; A_{22}=16\; \; ,\; \; A_{23}=-2\\\\A_{31}=13\; \; ,\; \; A_{32}=-12\; \; ,\; \; A_{33}=-31\\\\X=-\frac{1}{104}\cdot \left(\begin{array}{ccc}-13&-26&13\\-4&16&-12\\7&-2&-31\end{array}\right)\cdot \left(\begin{array}{ccc}7\\9\\1\end{array}\right)=-\frac{1}{104}\cdot \left(\begin{array}{ccc}-312\\104\\0\end{array}\right)

X=\left(\begin{array}{ccc}3\\-1\\0\end{array}\right)\\\\\\Otvet:\; \; x_1=3\; ,\; \; x_2=-1\; ,\; \; x_3=0\; .

Вас заинтересует