Информатика! Пожалуй
ста решите!​

Приложения:

Ответы

Ответ дал: fedrfedr
1

Ответ:

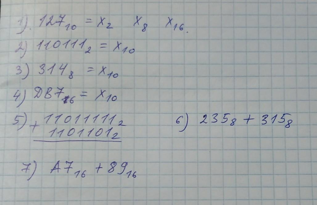
127₁₀ = 1111111₂

127₁₀ = 177₈

127₁₀ = 7F₁₆

110111₂ = 55₁₀

314₈ = 204₁₀

DB7₁₆ = 3511₁₀

11011111₂ +  1101101₂ = 101001100₂

235₈ + 315₈ = 552₈

A7₁₆ + 89₁₆ = 130₁₆

Объяснение:

127₁₀ = 1*2⁰ + 1*2¹ + 1*2² + 1*2³ + 1*2⁴ + 1*2⁵ + 1*2⁶ = 1111111₂

127₁₀ = 7*8⁰ + 7*8¹ + 1*8² = 177₈

127₁₀ = 15*16⁰ + 7*16¹ = 7F₁₆

110111₂ = 1*2⁰ + 1*2¹ + 1*2² + 0*2³ + 1*2⁴ + 1*2⁵ = 55₁₀

314₈ = 4*8⁰ + 1*8¹ + 3*8² = 204₁₀

DB7₁₆ = 7*16⁰ + B*16¹ + D*16² = 3511₁₀

11011111₂ = 1*2⁰ + 1*2¹ + 1*2² + 1*2³ + 1*2⁴ + 0*2⁵ + 1*2⁶ + 1*2⁷ = 223₁₀

1101101₂ = 1*2⁰ + 0*2¹ + 1*2² + 1*2³ + 0*2⁴ + 1*2⁵ + 1*2⁶ = 109₁₀

332₁₀ = 0*2⁰ + 0*2¹ + 1*2² + 1*2³ + 0*2⁴ + 0*2⁵ + 1*2⁶ + 0*2⁷ + 1*2⁸ = 101001100₂

235₈ = 5*8⁰ + 3*8¹ + 2*8² = 157₁₀

315₈ = 5*8⁰ + 1*8¹ + 3*8² = 205₁₀

362₁₀ = 2*8⁰ + 5*8¹ + 5*8² = 552₈

A7₁₆ = 7*16⁰ + A*16¹ = 167₁₀

89₁₆ = 9*16⁰ + 8*16¹ = 137₁₀

304₁₀ = 0*16⁰ + 3*16¹ + 1*16² = 130₁₆

Вас заинтересует