• Предмет: Математика
  • Автор: odinodinilin
  • Вопрос задан 2 года назад

Зделайте 3 любых задачи с решением(заранее спс)

Приложения:

Ответы

Ответ дал: bearcab
1

Ответ:

4) 1.

Пошаговое объяснение:

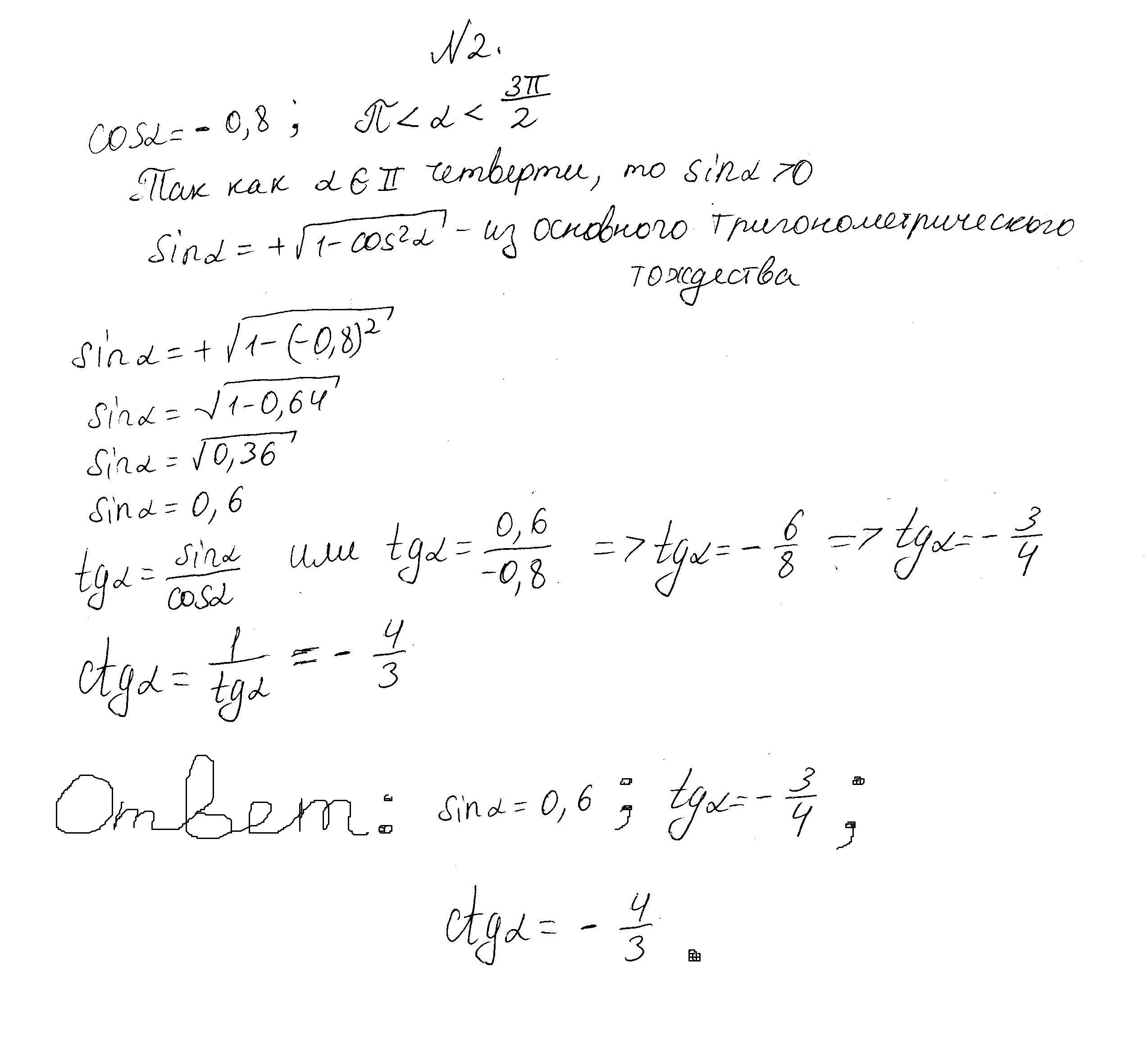
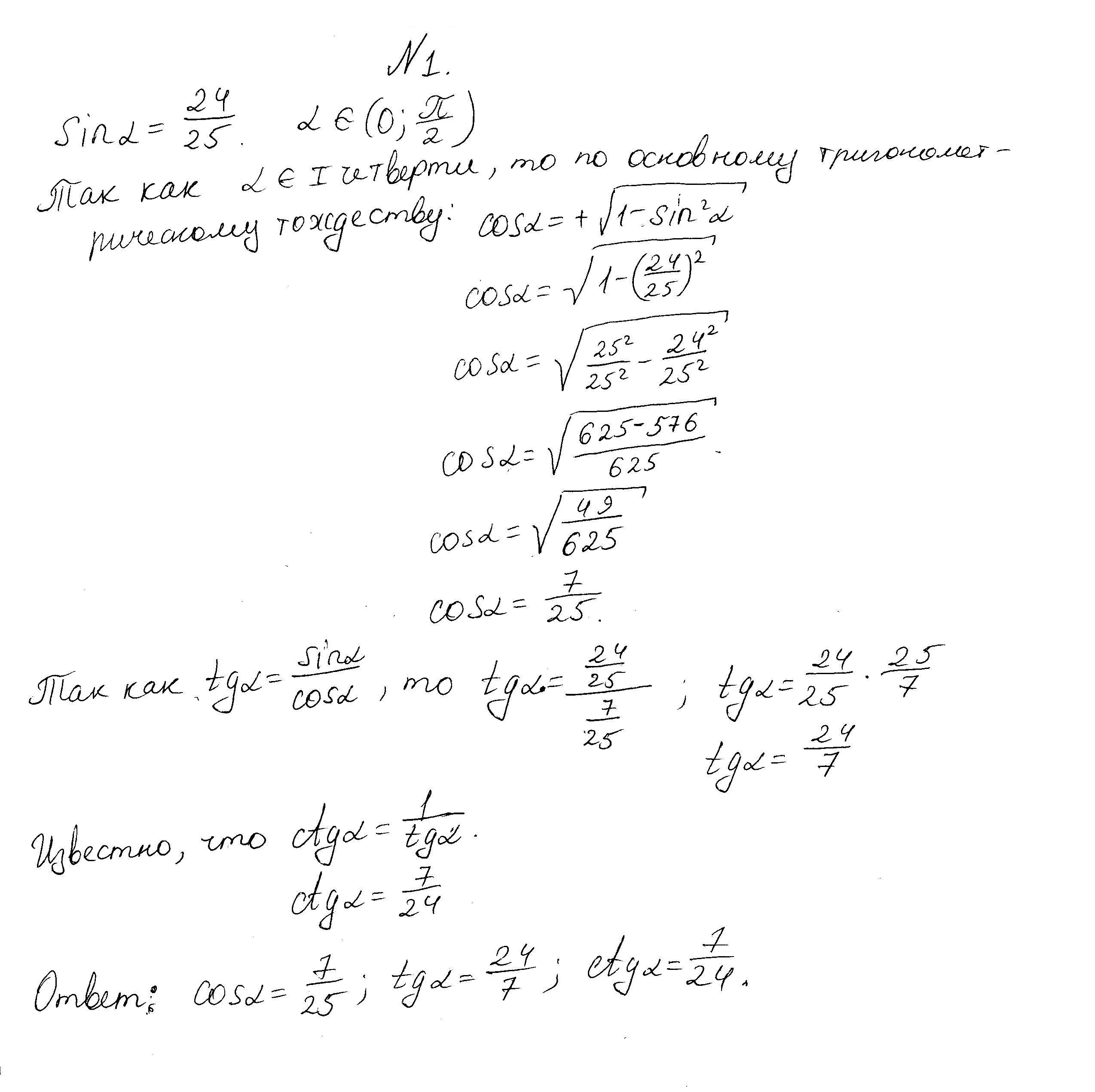
Решение в приложении

Приложения:
Вас заинтересует