• Предмет: Математика
  • Автор: kzroyan01
  • Вопрос задан 2 года назад

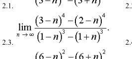
Помогите решить предел (полное решение)

Приложения:

Ответы

Ответ дал: HSS9860
0

Ответ:

2

Пошаговое объяснение:

детали во вложении: раскрыть скобки в числителе и знаменателе, записать полиномы в "стандартной" форме, затем выполнить деление на старшую общую степень. Ответ отмечен цветным.

Приложения:
Вас заинтересует