• Предмет: Алгебра
  • Автор: malikaasanova92
  • Вопрос задан 2 года назад

решите пожалуйста
ответ 1​

Приложения:

Ответы

Ответ дал: tamarabernukho
4

Ответ:

Объяснение:

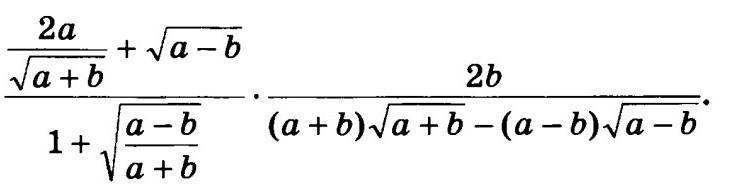
\dfrac{\dfrac{2a}{\sqrt{a+b} }+\sqrt{a-b}  }{1+\sqrt{\dfrac{a-b}{a+b} } } *\dfrac{2b}{(a+b)\sqrt{a+b}-(a-b)\sqrt{a-b}  } =1\\ \\ \\

1)\dfrac{2a}{\sqrt{a+b} }+\sqrt{a-b}=\dfrac{2a+\sqrt{a-b} \sqrt{a+b} }{\sqrt{a+b} }\\  \\ \\

2)1+\sqrt{\dfrac{a-b}{a+b}}=\dfrac{\sqrt{a+b} +\sqrt{a-b} }{\sqrt{a+b} }\\  \\ \\

3)\dfrac{2a+\sqrt{a-b} \sqrt{a+b} }{\sqrt{a+b} }*\dfrac{\sqrt{a+b} }{\sqrt{a+b}+\sqrt{a-b} }=\dfrac{2a+\sqrt{a-b}\sqrt{a+b}}{\sqrt{a+b}+\sqrt{a-b}} \\  \\ \\

4)\dfrac{2b}{(a+b)\sqrt{a+b}-(a-b)\sqrt{a-b}}=\dfrac{2b}{(\sqrt{a+b})^3-(\sqrt{a-b})^3} =\\ \\ \\\dfrac{2b}{(\sqrt{a-b}-\sqrt{a+b)}(a+b+a-b+\sqrt{a+b}\sqrt{a-b})}}}\\ \\ \\

5)\dfrac{2a+\sqrt{a-b}\sqrt{a+b}}{\sqrt{a+b}+\sqrt{a-b}}*\dfrac{2b}{(\sqrt{a+b}-\sqrt{a-b)}(2a+\sqrt{a+b}\sqrt{a-b} )}=\\ \\ \\\dfrac{2b}{(\sqrt{a+b}+\sqrt{a-b})(\sqrt{a+b}-\sqrt{a-b})} =\dfrac{2b}{a+b-a+b} =\dfrac{2b}{2b}=1

Вас заинтересует