100 б + лучший ответ! Найти предел:
Приложения:

moboqe:
что находится в знаменателе степени?
Ответы
Ответ дал:
1
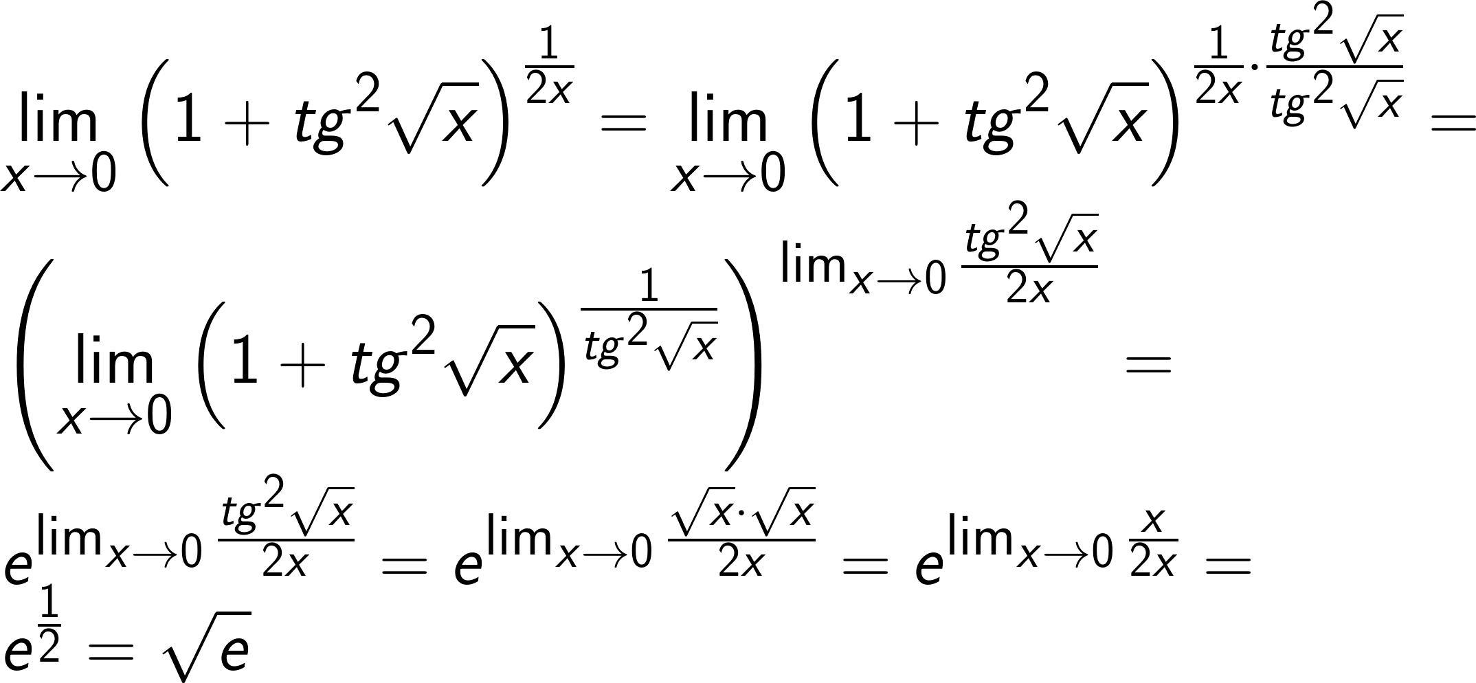
Ответ:
Объяснение:
Приложения:

Ответ дал:
1
Вас заинтересует
1 год назад
1 год назад
1 год назад
3 года назад
3 года назад