• Предмет: Алгебра
  • Автор: sofa379
  • Вопрос задан 2 года назад

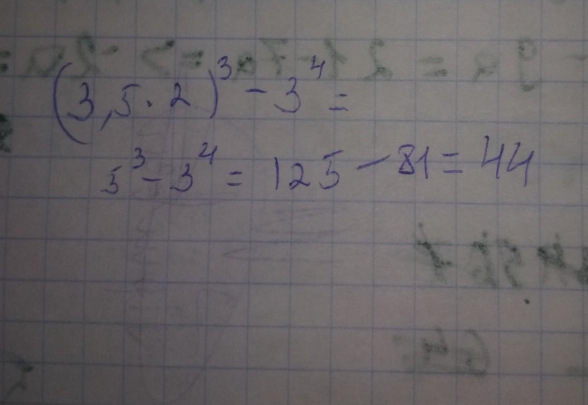
Найдите значение выражения 3,5*2 в 3 степени минус 3 в 4 степени

Ответы

Ответ дал: wieslawlozickip5w1nd
12

Ответ:

Объяснение:

3,5*2³-3^4=3,5*8-81=28-81=-53

Ответ дал: prihodkk
6

Ответ:

.................,........

Приложения:
Вас заинтересует