• Предмет: Алгебра
  • Автор: RitaShpak
  • Вопрос задан 2 года назад

Помогите пожалуйста решить 4,5 задания

Приложения:

Ответы

Ответ дал: Beaver4000
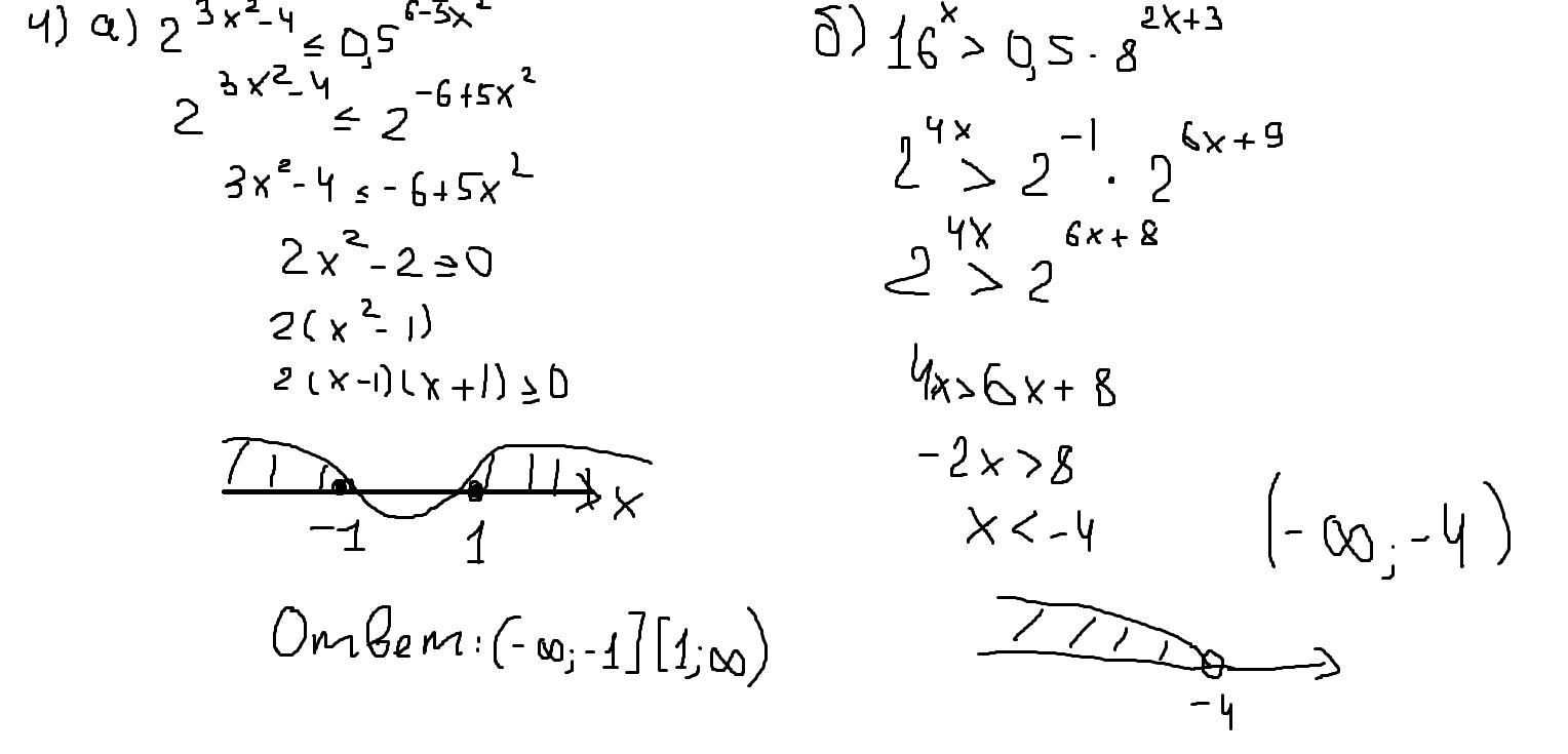
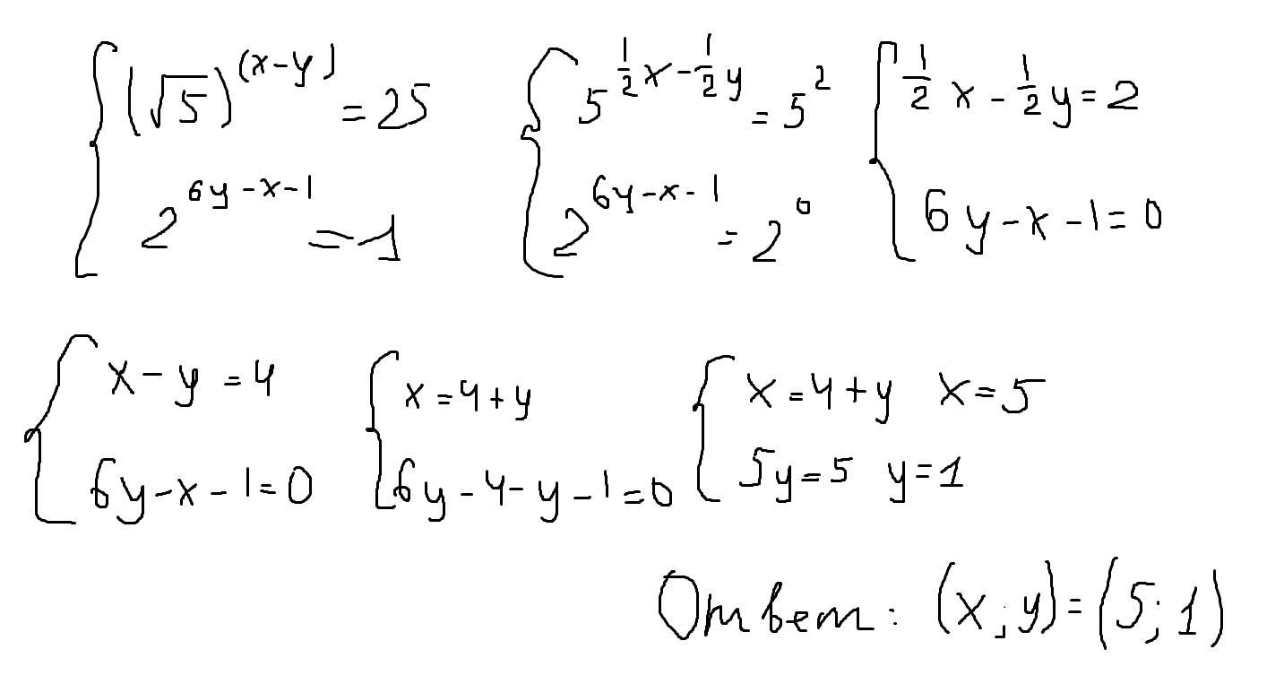
1

Ответ:

4) а) (-∞;-1][1;∞)

   b) (-∞;-4)

5) (x;y) = (5;1)

Объяснение:

Заранее извиняюсь за почерк!

Приложения:
Вас заинтересует