• Предмет: Информатика
  • Автор: izlefortovo
  • Вопрос задан 2 года назад

Как перевести число из 10-й системы счисления в 11-ю сс?

Ответы

Ответ дал: Beaver4000
1

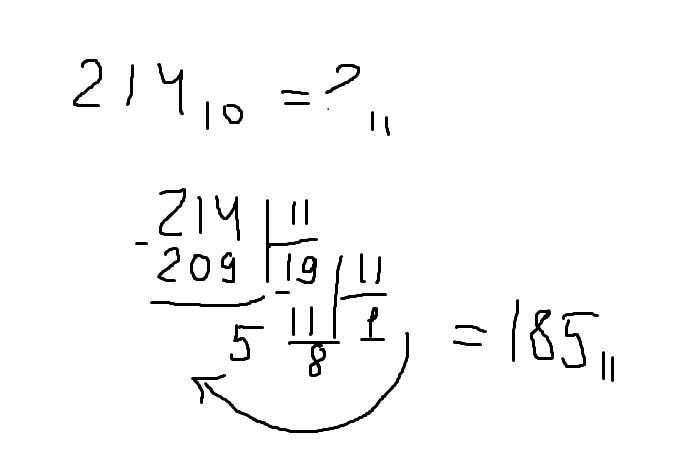
Ответ:

делить в столбик на одиннадцать пока не упрёшься в число меньшее 11.

Объяснение:

Пример (см картинку)

Приложения:
Вас заинтересует