• Предмет: Математика
  • Автор: uchilka9849
  • Вопрос задан 2 года назад

розвяжіть систему нерівностей​

Приложения:

Ответы

Ответ дал: Nelia2019
1

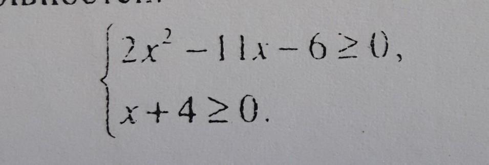
{2x²-11x-6≥0;

{х+4≥0

х≥-4

2x²-11x-6≥0

D=(-11)²-4*2*(-6)=121+48=169; √D=13;

х1=(11+13):4=6;

х2=(11-13):4= -0,5.

Ответ: (-∞; -0,5]U{6; +∞).

Вас заинтересует