Ответы
Ответ дал:
1
Вот..........................
Приложения:

Ответ дал:
1
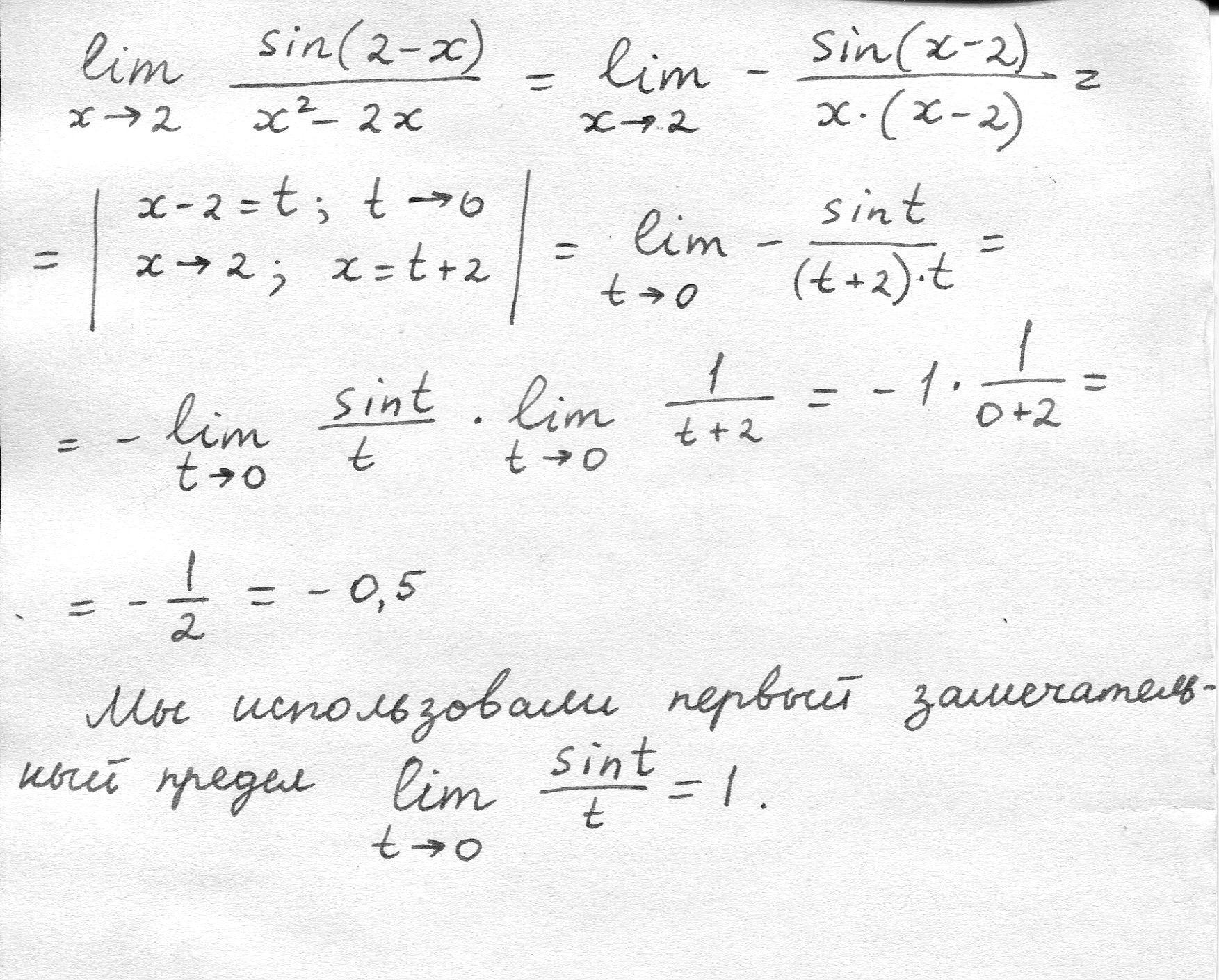
я написал решение на листочке ===>>
Приложения:

choman:
где ты раньше был, но спасибо
Вас заинтересует
1 год назад
1 год назад
1 год назад
1 год назад
3 года назад
3 года назад
8 лет назад