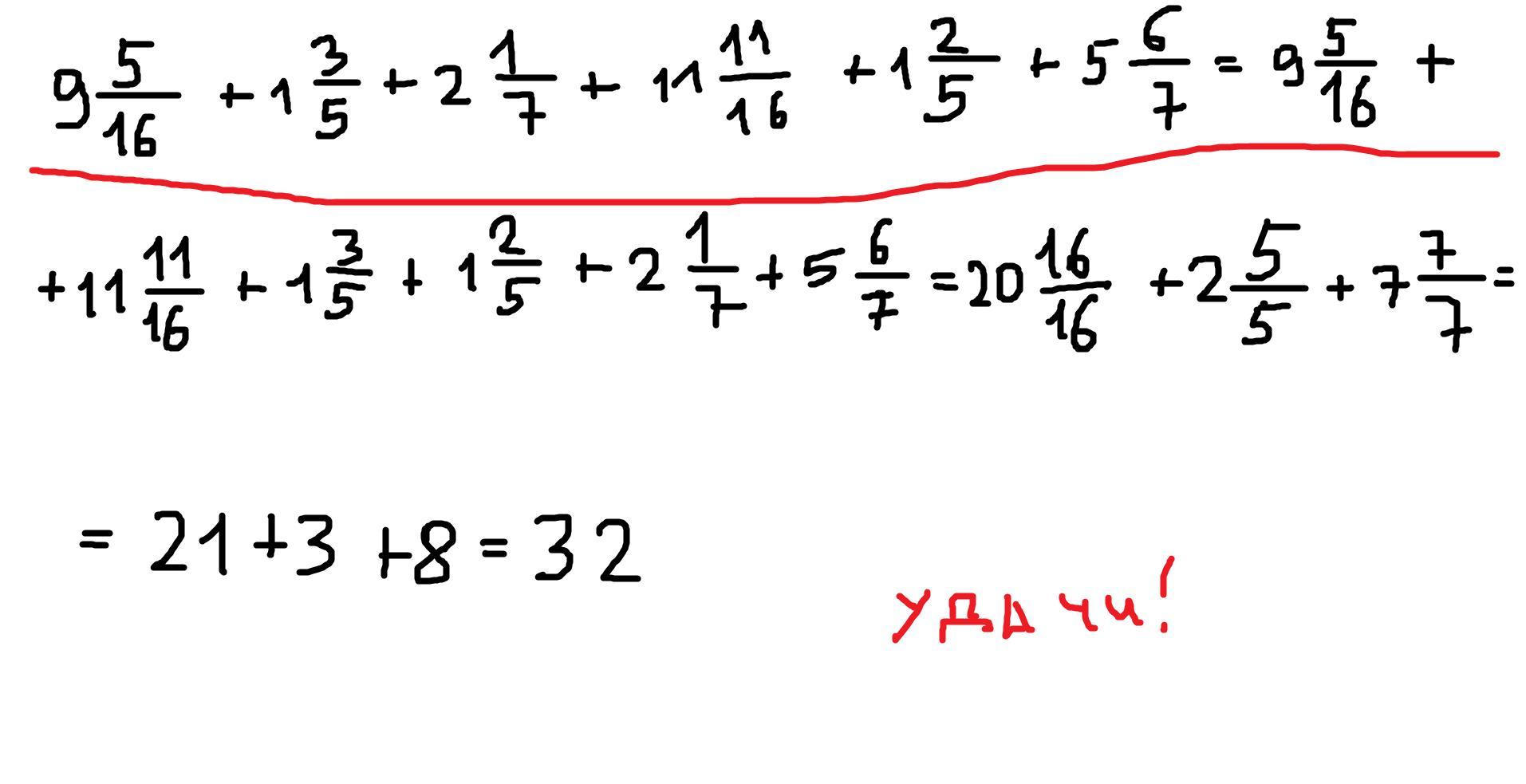
Вычислите сумму Пользуясь законами сложения. 9 5/16+1 3/5+2 1/7+11 11/16+ 1 2/5+5 6/7
Аноним:
какими законами?
Ответы
Ответ дал:
93
Ответ: 32
Пошаговое объяснение: ↓↓↓ удачи!
Приложения:

Вас заинтересует
1 год назад
1 год назад
1 год назад
3 года назад
8 лет назад
8 лет назад