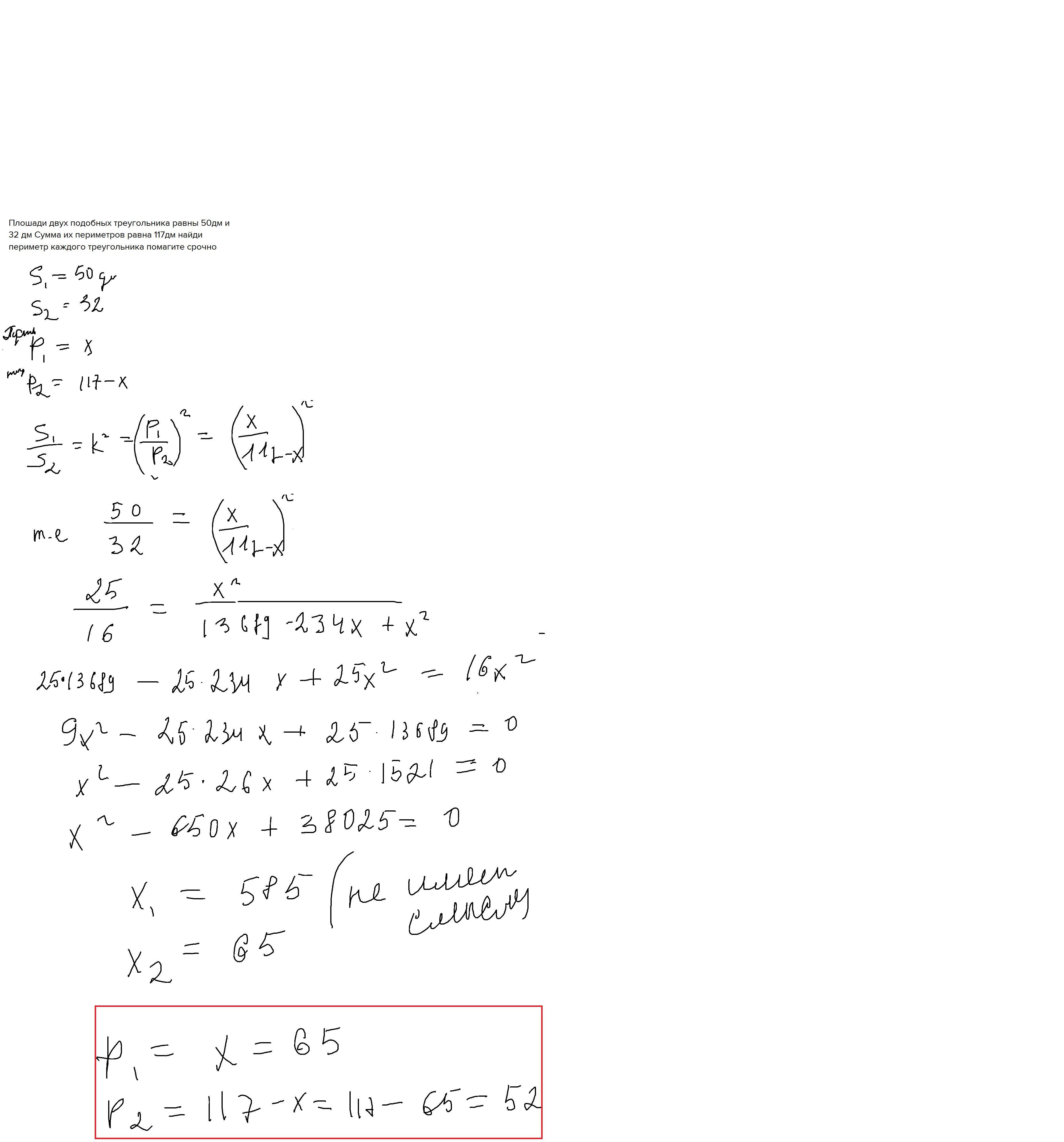
Плошади двух подобных треугольника равны 50дм и 32 дм Сумма их периметров равна 117дм найди периметр каждого треугольника помагите срочно
Ответы
Ответ дал:
1
Ответ:
Объяснение:
Плошади двух подобных треугольника равны 50дм и 32 дм Сумма их периметров равна 117дм найди периметр каждого треугольника помагите срочно
Приложения:
Вас заинтересует
2 года назад
2 года назад
2 года назад
3 года назад
3 года назад
9 лет назад
9 лет назад