• Предмет: Математика
  • Автор: Halimatpig
  • Вопрос задан 2 года назад

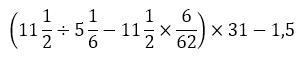
Найдите значение выражение рациональным способом

Приложения:

Ответы

Ответ дал: theoriaTestUsu
1

Ответ:

(11 1/2 ÷ 5 1/6 - 11 1/2 * 6/62) * 31 - 1.5 = (11 1/2 * 6/31 - 11 1/2 * 6/62) * 31 - 1.5 =

= 11 1/2 ( 12/62 - 6/62) * 31 - 1.5 = 23/2 * 31 * 6/62 - 1.5 = 69/2 - 1.5 = 34.5 - 1.5 = 33

Пошаговое объяснение:

1. разделить на 31/6 = умножить на 6/31

2.выносится 11 1/2 за скобки

3.выполняется действие в скобках

4.перемножаютя 3 множителя


Halimatpig: Спасибо
Halimatpig: Я хотела проверить свой ответ
Вас заинтересует