50 б + лучший ответ! Решить уравнение:
Приложения:
                    
                            
                    lidiasaraa3:
                    первый множитель не равен нoлю,второй-тоже,и только cos x=0. x=pi/2+pi*n
                
            
                    
                    ну да, я так и написал
                
            Ответы
                                            Ответ дал: 
                                                                                            
                                                    
                                                
                                                                                    
                                        
                                            
                                                
                                                
                                                
                                                    1
                                                
                                            
                                        
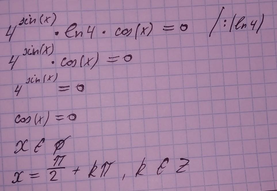
                                    Ответ:
х=π/2+kπ, k€Z
Объяснение:
рисунок...!)
Удачи!!!!
Приложения:
                    
                            
                    
                    Благодарю:)
                
            Вас заинтересует
                
                        1 год назад
                    
                
                        1 год назад
                    
                
                        1 год назад
                    
                
                        1 год назад
                    
                
                        3 года назад
                    
                
                        3 года назад