• Предмет: Алгебра
  • Автор: dolgovsanya
  • Вопрос задан 2 года назад

Решите примеры, показательные уравнения и неравенства. Распишите эти примеры, ибо не соображаю. На листочке. Спасибо.

Приложения:

ruslant553: Решить только выделенные?
dolgovsanya: Да

Ответы

Ответ дал: ruslant553
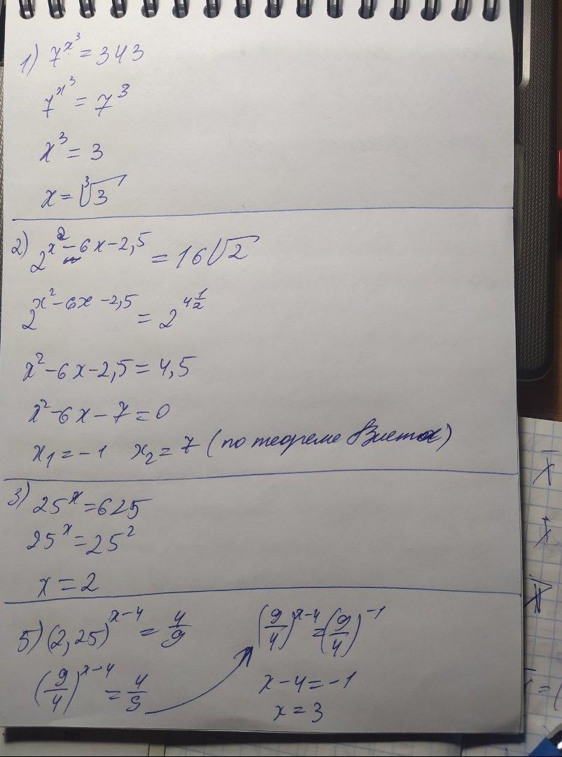
1

Решение во вложении. Будут вопросы, задавай)

Приложения:
Ответ дал: Universalka
0

1)7^{x^{3}}=343\\\\7^{x^{3}}=7^{3}\\\\x^{3}=3\\\\x=\sqrt[3]{3}\\\\Otvet:\boxed{\sqrt[3]{3}}

2)2^{x^{2}-6x-2,5}=16\sqrt{2}\\\\2^{x^{2}-6x-2,5} =2^{4,5}\\\\x^{2}-6x-2,5=4,5\\\\x^{2}-6x-7=0\\\\x_{1}=7\\\\x_{2}=-1\\\\Otvet:\boxed{-1;7}

3)25^{x}=625\\\\25^{x}=25^{2}\\\\x=2\\\\Otvet:\boxed{2}

5)(2,25)^{x-4}=\frac{4}{9}\\\\(\frac{9}{4})^{x-4}=(\frac{9}{4})^{-1}\\\\x-4=-1\\\\x=3\\\\Otvet:\boxed{3}

Вас заинтересует