• Предмет: Математика
  • Автор: darjasinica
  • Вопрос задан 2 года назад

в цеху за один день делается 15 тон цемента.сколько цемента делается во втором цеху за один день.естли они вместе за 15 дней сделат 855 тон цемента

Ответы

Ответ дал: fedotovgeorge7
1

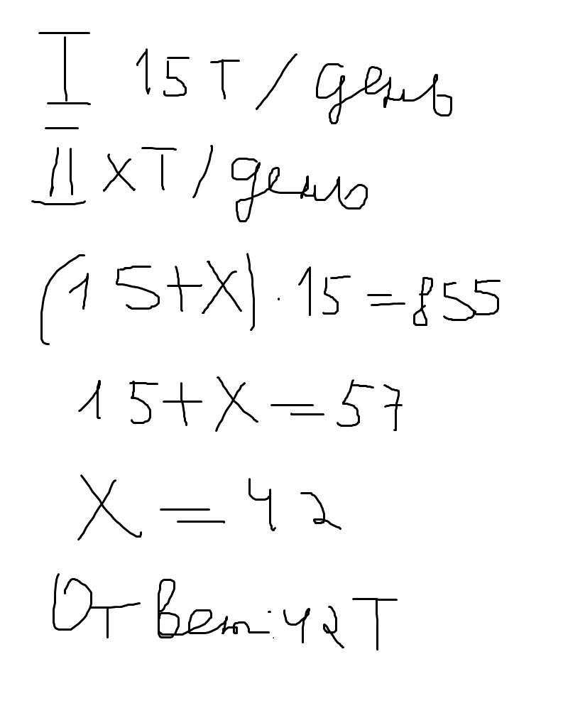
Ответ:

42 тонны в день

Пошаговое объяснение:

(15+x)*15=855

15x+225=855

15x=630

x=42


darjasinica: простите но ответ 32 тоны у меня в книге ответ но нет решения простите я просто не понимаю как решить
darjasinica: ПОМОГИТЕ МНЕ!!!!!!!!!!!!!!!!!!!!!!!!!!!!!!!!!!!!!!!!!!!!!!!!!!!!!!!!!!!!!!!!!!!!!!!!!!!!!!!!!!!!!!!!!!!!!!!!!!!!1
matematikL: а ты можеж сфотографировать условие
fedotovgeorge7: не согласен с ответом 32 тонны
matematikL: может просто не правильно написано условие вот и все
Ответ дал: matematikL
1

Ответ:

Пошаговое объяснение:

вот и все

Приложения:
Вас заинтересует