Ответы
Ответ дал:
1
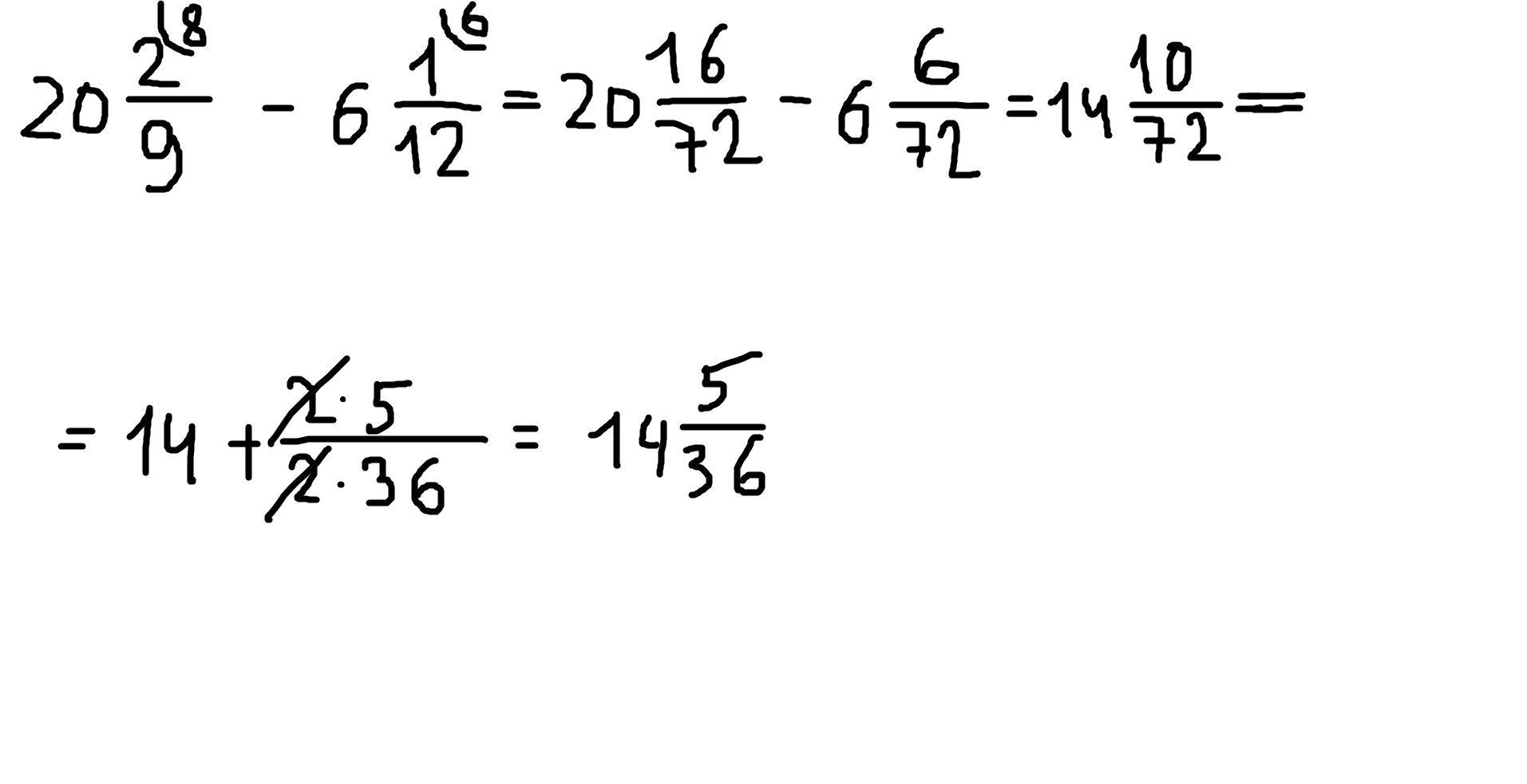
Ответ: 14целых 5/36
Пошаговое объяснение:
Сократить эти дроби нельзя, они уже несократимы. А вот выполнить действие с дробями можно.
20целых 2/9 - 6целых 1/12 = 20целых 8/36 - 6целых 3/36 = 14целых 5/36
Аноним:
привет!
Ответ дал:
1
Ответ: 14 5/36
Пошаговое объяснение: ↓↓↓ удачи!
Приложения:

Вас заинтересует
1 год назад
1 год назад
1 год назад
3 года назад
3 года назад
8 лет назад