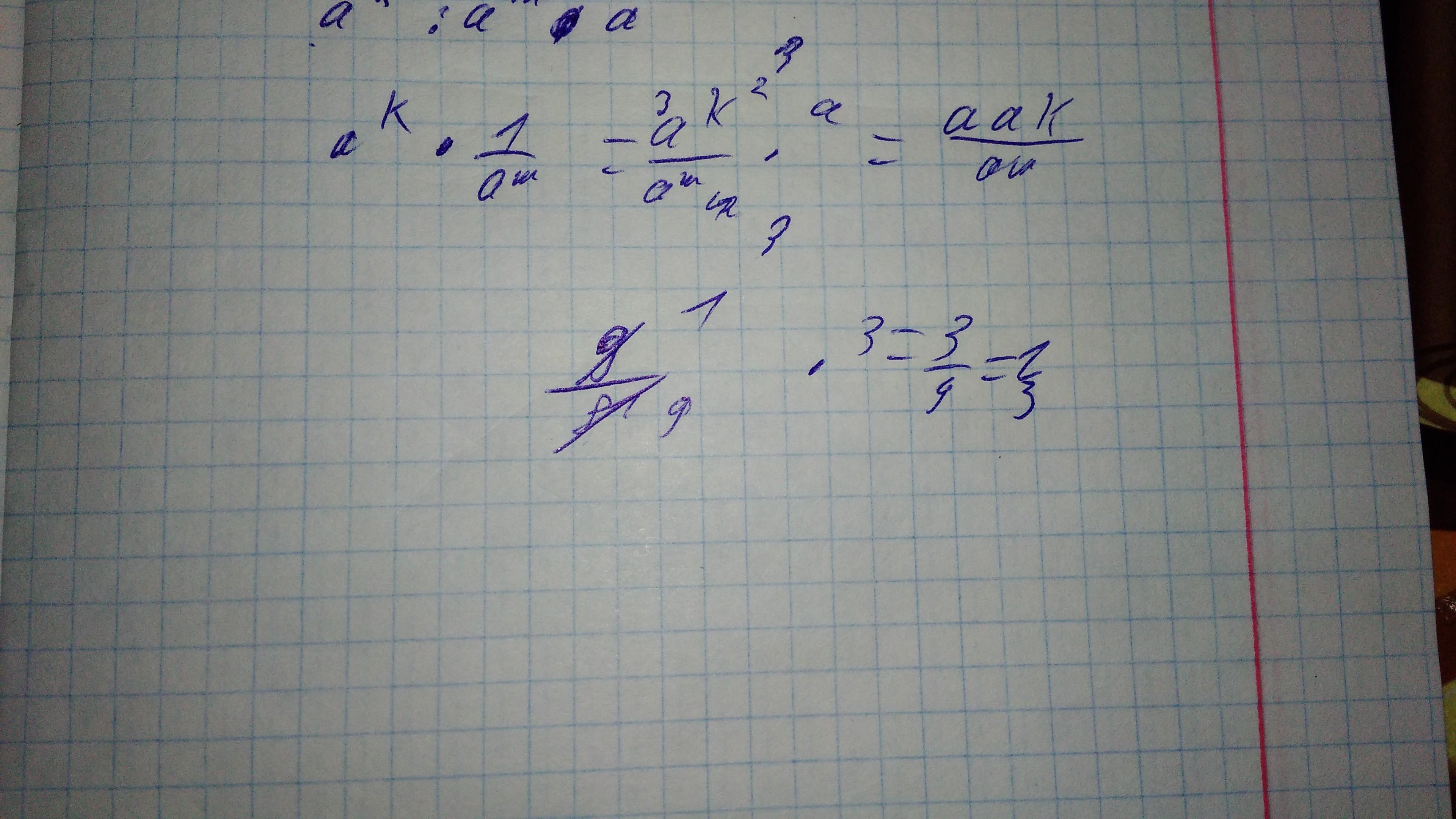
2. Дано выражение a”k: a"m: а. Запишите это выражение в виде степени и вычис-
лите значение степени при а = 3, k = 2, t = 4
Приложения:
Ответы
Ответ дал:
7
Ответ: 1/3
Пошаговое объяснение:
Приложения:
Вас заинтересует
2 года назад
2 года назад
2 года назад
2 года назад
3 года назад
3 года назад
9 лет назад
9 лет назад