• Предмет: Алгебра
  • Автор: avtaev03
  • Вопрос задан 2 года назад

Помогите номер 206. Прикреплю фото ​

Приложения:

Ответы

Ответ дал: ldglkva
0

Ответ:

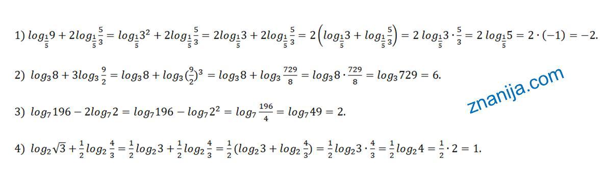
Решение во вложении.

Приложения:
Вас заинтересует