Помогите решить комплексное число.
Только начал изучать эту тему и не понял её до конца.
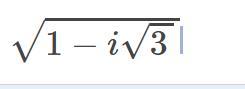
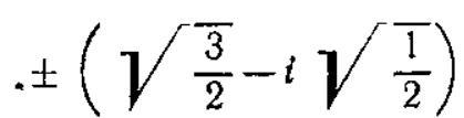
На первой картинке само задание, а на второй ответ. решить нужно формулой: √a+bi
√1-i√3
Приложения:


Ответы
Ответ дал:
1
Ответ:..........
Объяснение:
Приложения:

Вас заинтересует
1 год назад
1 год назад
3 года назад
8 лет назад
8 лет назад