• Предмет: Геометрия
  • Автор: агшин21
  • Вопрос задан 2 года назад

Помогите пожалуйста. Срочно надо!!!! ​

Приложения:

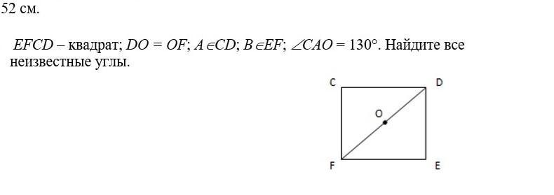
bopovogo: Основные правила: смежные углы, и биссектриса

Ответы

Ответ дал: bopovogo
1

Ответ:

AOD 85

FOA 95

CFD=FDE=FDC= 45

OAD=50

Приложения:

агшин21: можно пожалуйста подробно написать решения
агшин21: с дано и решение
bopovogo: сей момент
Вас заинтересует