Помогите решить уравнение!!!!!
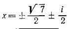
x^4-3x^2+4=0
Как его решить, чтобы ответ получился такой?
Приложения:

Ответы
Ответ дал:
0
Сделай замену t=x^2
Вас заинтересует
1 год назад
1 год назад
1 год назад
1 год назад
3 года назад
3 года назад
8 лет назад