Ответы
Ответ дал:
0
Ответ:
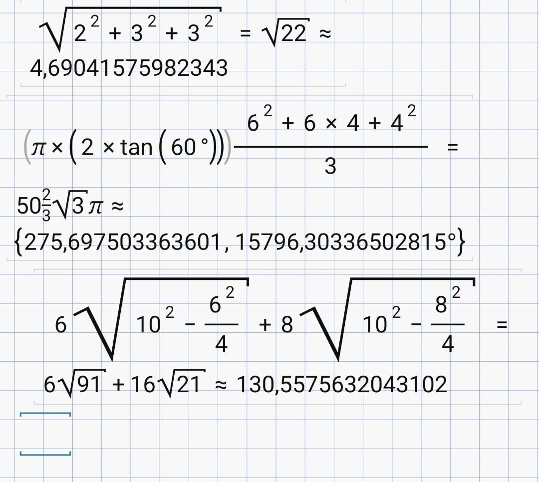
18) 4.69
19) 275.697
20) 130.557
Пошаговое объяснение:
PS. Постарался как смог. надеюсь что не ошибся. Удачи!
Приложения:

Вас заинтересует
1 год назад
1 год назад
1 год назад
3 года назад
3 года назад
8 лет назад