Ответы
Ответ дал:
1
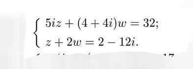
Ответ: z=4-4i; w=-1-4i
Объяснение:
Приложения:


Vovan1191:
СПАСИБО БОЛЬШОЕ!
Вас заинтересует
1 год назад
1 год назад
1 год назад
1 год назад
3 года назад
8 лет назад