• Предмет: Математика
  • Автор: bika1760
  • Вопрос задан 2 года назад

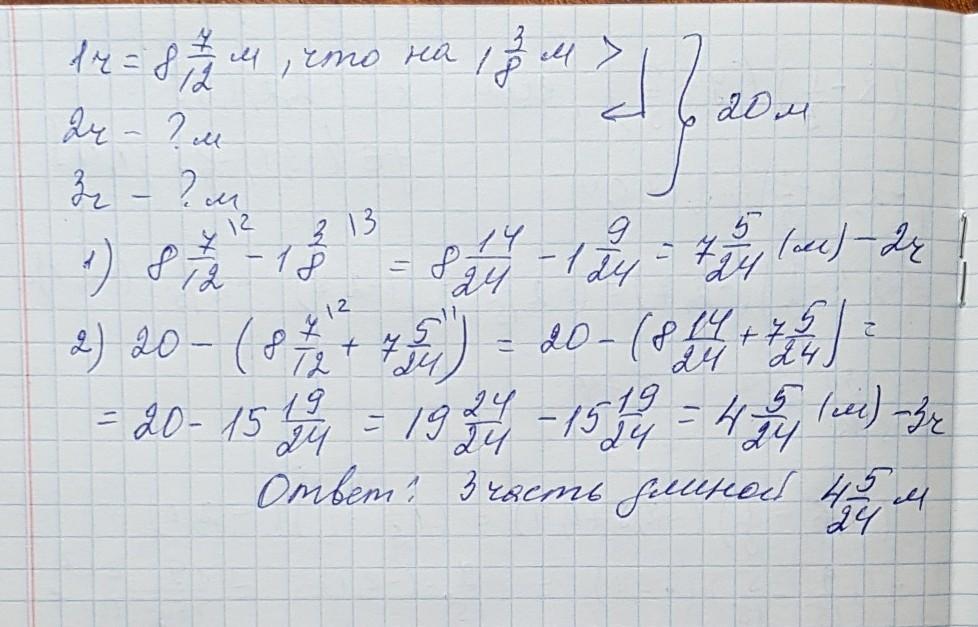
Решите задачу. Провод длиной 20 м разрезали на три части. Первая часть имеет длину восемь целых семь двенадцатых метров что на одну целых три восьмых метра больше длины второй части найдите длину третьей части

Приложения:

Ответы

Ответ дал: 1233090
4

Ответ:

решение задания смотри на фотографии

Приложения:
Вас заинтересует