Ответы
Ответ дал:
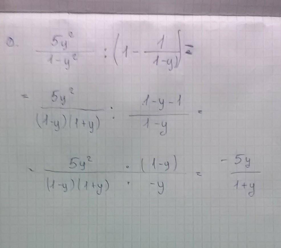
0
Объяснение:
....... только в 6 неуверенна
Приложения:



Вас заинтересует
1 год назад
1 год назад
1 год назад
1 год назад
3 года назад
3 года назад
8 лет назад