Ответы
Ответ дал:
1
Ответ:
Объяснение:1 фото решение , 2 объяснение
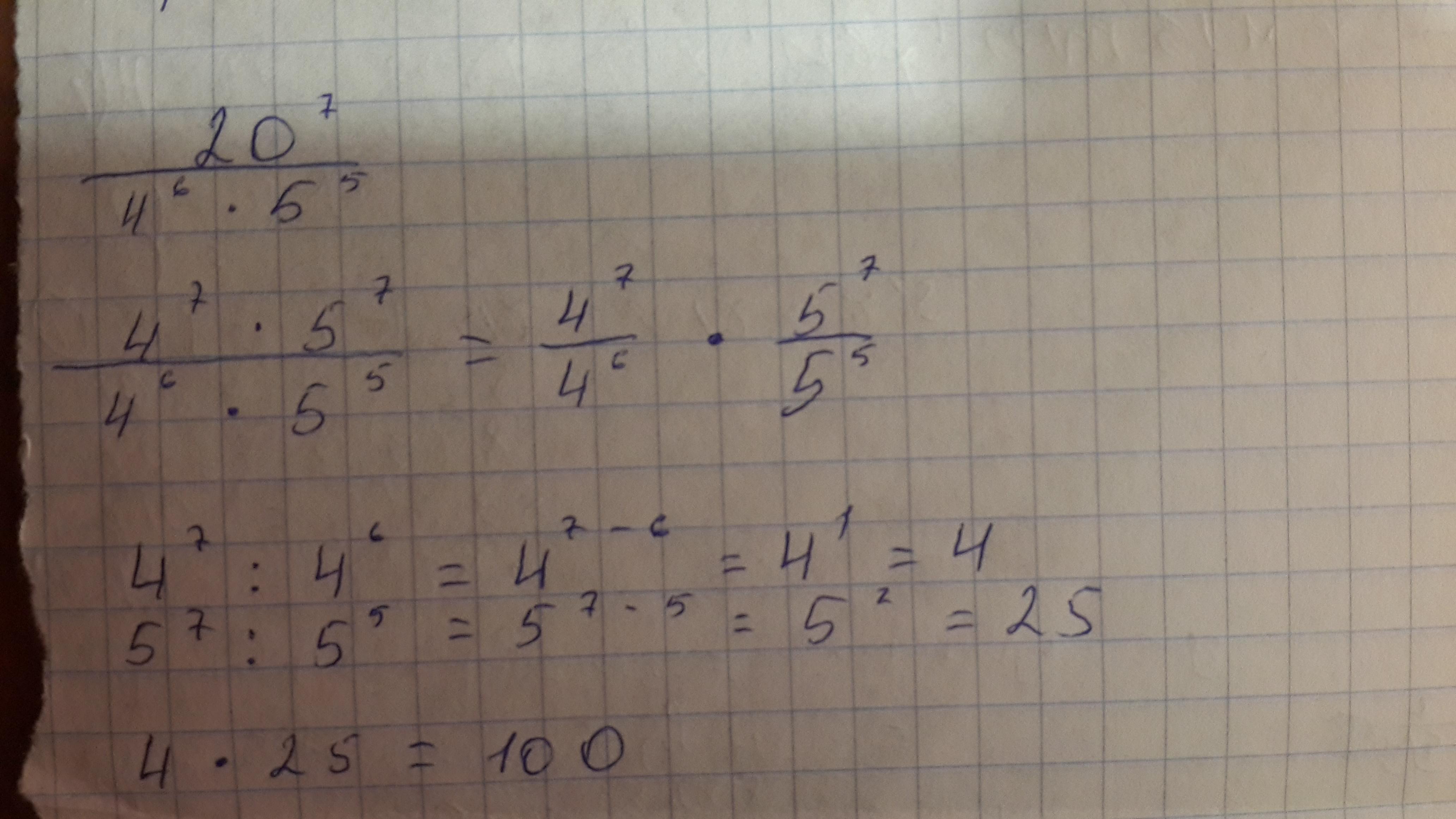
Там просто нужно разложить 20 на 5 и 4, а степень одна и та же 7
4^7 делим на 4^6, а 5^7 делим на 5^5
Потом получившиеся два числа перемножаем, т.е 4 и 25
Ну... надеюсь ты поймешь)
Приложения:


Вас заинтересует
1 год назад
1 год назад
1 год назад
1 год назад
3 года назад
3 года назад
8 лет назад
8 лет назад