Ответы
Ответ дал:
2
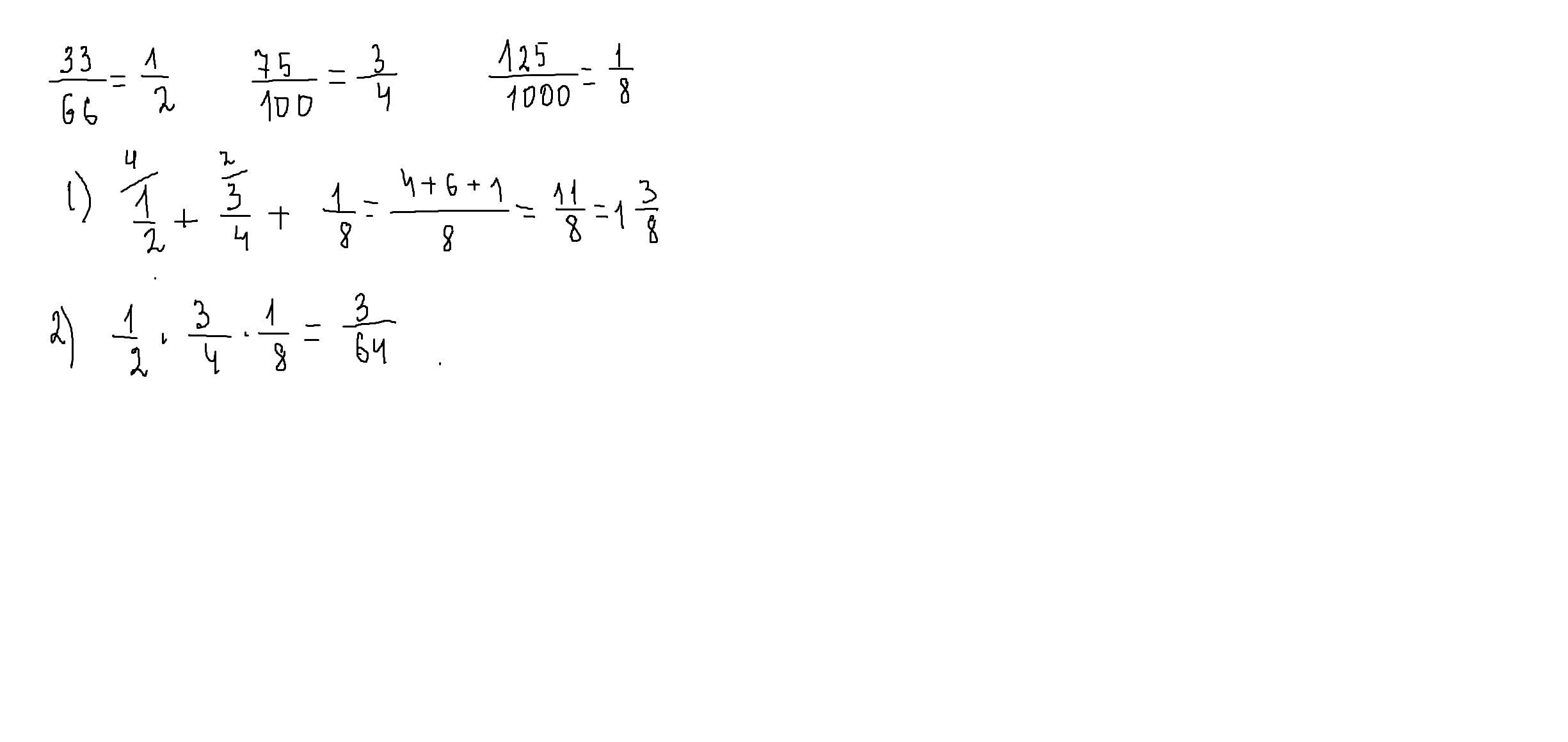
Ответ:1/2, 3/4, 1/8
Пошаговое объяснение:
Ответ дал:
0
Ответ:
Пошаговое объяснение:
решение внизу
Приложения:

Вас заинтересует
1 год назад
1 год назад
1 год назад
1 год назад
3 года назад
3 года назад
8 лет назад