• Предмет: Математика
  • Автор: mariaivleeva4
  • Вопрос задан 2 года назад

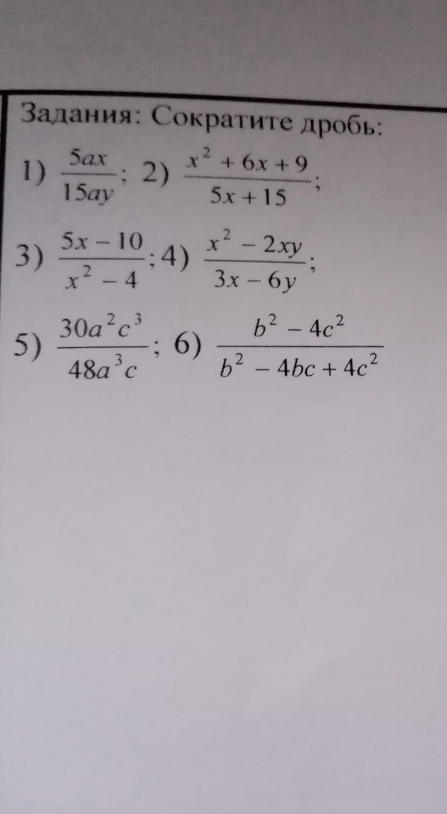
Памагите сократить дроби​

Приложения:

Ответы

Ответ дал: Аноним
1

1)\;\frac{5ax}{15ay}=\frac x{3y};\\\\2)\;\frac{x^2+6x+9}{5x+15}=\frac{(x+3)^2}{5\cdot(x+3)}=\frac{x+3}5;\\\\3)\;\frac{5x-10}{x^2-4}=\frac{5(x-2)}{(x+2)(x-2)}=\frac5{x+2};\\\\4)\;\frac{x^2-2xy}{3x-6y}=\frac{x(x-2y)}{3(x-2y)}=\frac x3;\\\\5)\;\frac{30a^2c^3}{48a^3c}=\frac{5c^2}{8a};\\\\6)\;\frac{b^2-4c^2}{b^2-4bc+4c^2}=\frac{(b+2c)(b-2c)}{(b-2c)^2}=\frac{b+2c}{b-2c}.

Вас заинтересует