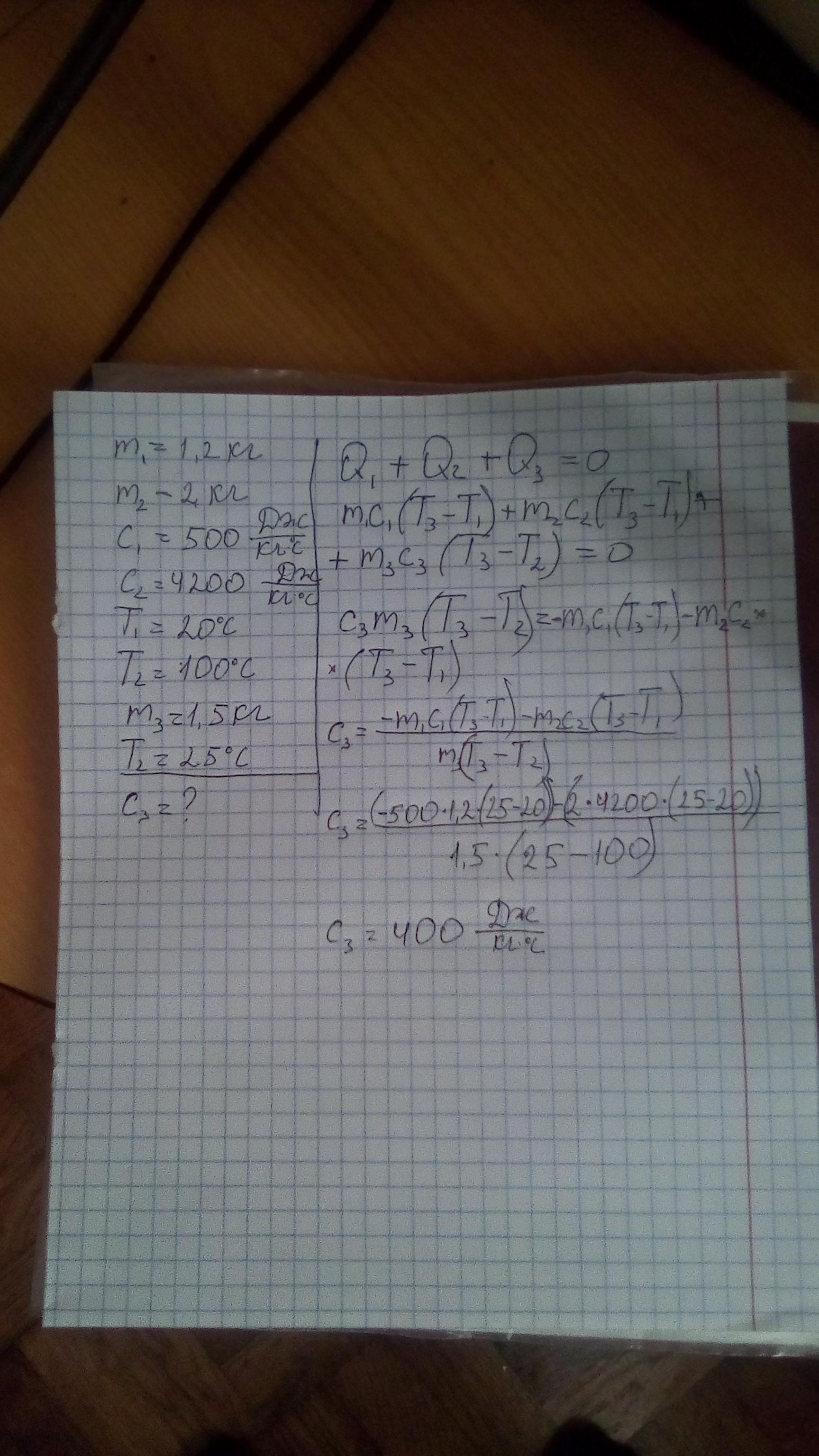
У стальну посудину масою 1,2 кг налито 2 кг води при температурі 20
°С. У посудину опускають нагрітий до 100 °С брусок масою 1,5 кг. 3
якого матеріалу виготовлено брусок, якщо температура води в
посудині зростає до 25 °С? помогите срочно!!!!!!
Ответы
Ответ дал:
11
Ответ:Цинк
Объяснение:
Приложения:

avdeevandrey74:
спасибо
Вас заинтересует
1 год назад
1 год назад
1 год назад
1 год назад
3 года назад
3 года назад