• Предмет: Математика
  • Автор: Mihandr
  • Вопрос задан 2 года назад

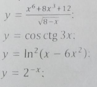
Найдите производную функции:

Приложения:

Ответы

Ответ дал: 0Zaur0
0

Ответ:

Пошаговое объяснение:

Вас заинтересует