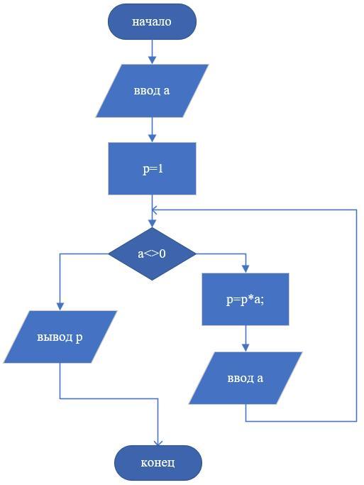
Вводится произвольная последовательность чисел, заканчивающаяся нулём. Определить произведение введенных чисел.
Помогите пожалуйста составить блок схему
Ответы
Ответ дал:
1
Блок-схема во вложении.
Приложения:

Вас заинтересует
1 год назад
1 год назад
1 год назад
1 год назад
3 года назад
3 года назад
8 лет назад