• Предмет: Алгебра
  • Автор: 42465
  • Вопрос задан 2 года назад

Помогите пожалуйста если вам не сложно)

Приложения:

Ответы

Ответ дал: sertenval
1

1) x' + 12' = 1

2) -12x' = - 12*1 = - 12

3)

 {x}^{11}  =  {11x}^{11 - 1}  =  {11x}^{10}

4)

 {x}^{ - 7}  =  { - 7x}^{ - 8}

5)

 {x}^{ -  \frac{2}{7} }  =  -  \frac{2}{7}  {x}^{ - 1 \frac{2}{7} }

6)

7)

8)

 {(1 - 2x)}^{ - 6}  =  { - 6(1 - 2x)}^{ - 7}

9)

 {(4x)}^{5}  =  {5(4x)}^{4}

10)

11)

 \frac{11}{x}  =  \frac{ -11}{ {x}^{2} }

12)

 \frac{x}{7}  =  \frac{7}{49}  =  \frac{1}{7}

13) (-4x²) '+ 7x' + 8' = -8x +7

14)

15)

Это, правда, не всё


42465: огромное спасибо
sertenval: Обращайся) Извини, что не все решил, сам подзабыл немного
42465: да что там
42465: огромное спасибо
NNNLLL54: 8 и 9 неверно
sertenval: Да, вижу, спасибо. Не знаю, стоит ли исправляють, у твоём ответе и так есть
NNNLLL54: если не исправите, то ответ удалят, т.к. в нём содержатся ошибки
sertenval: Тогда пускай удаляют, и так не на всё ответил, а вспомнить никак не могу
sertenval: Киньте жалобу на ответ
Ответ дал: NNNLLL54
0

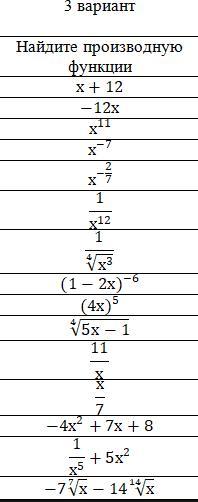
(x+12)'=x'+12'=1+0=1\\\\(-12x)'=-12\cdot x'=-12\cdot 1=-12\\\\(x^{11})'=11x^{10}\\\\(x^{-7})'=-7\cdot x^{-7-1}=-7\cdot x^{-8}\\\\(x^{\frac{-2}{7}})'=-\frac{2}{7}\cdot x^{-\frac{2}{7}-1}=-\frac{2}{7}\cdot x^{-\frac{9}{7}}\\\\(\frac{1}{x^{12}})'=(x^{-12})'=-12\cdot x^{-13}=-\frac{12}{x^{13}}\\\\(\frac{1}{\sqrt[4]{x^3}})'=(x^{-\frac{3}{4}})'=-\frac{3}{4}\cdot x^{-\frac{7}{4}}=-\frac{3}{4\sqrt[4]{x^7}}\\\\(1-2x)^{-6}=-6\cdot (1-2x)^{-7}\cdot (-2)=12\cdot (1-2x)^{-7}\\\\((4x)^5)'=5\cdot (4x)^4\cdot 4=20(4x)^4=5120x^4

(\sqrt[4]{5x-1})'=\frac{1}{4}\cdot (5x-1)^{\frac{1}{4}-1}=\frac{1}{4}\cdot (5x-1)^{-\frac{3}{4}}=\frac{1}{4\sqrt[4]{(5x-1)^3}}\\\\(\frac{11}{x})'=11\cdot (x^{-1})'=11\cdot (-1)\cdot x^{-2}=-\frac{11}{x^2}\\\\(\frac{x}{7})'=(\frac{1}{7}\cdot x)'=\frac{1}{7}\\\\(-4x^2+7x+8)'=-8x+7\\\\(\frac{1}{x^5}+5x^2)'=-5\cdot x^{-6}+10x=-\frac{5}{x^6}+10x\\\\(-7\sqrt[7]{x}-14\sqrt[14]{x})'=-7\cdot \frac{1}{7}\cdot x^{-\frac{6}{7}}-14\cdot \frac{1}{14}\cdot x^{-\frac{13}{14}}=-\frac{1}{\sqrt[7]{x^6}}-\frac{1}{\sqrt[14]{x^{13}}}

Вас заинтересует