Ответы
Ответ дал:
0
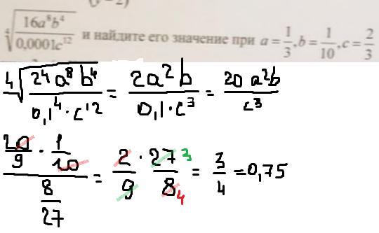
3 см.фото
4. 3а-а+1+2а-5= 4а-4 = 4*(а-1)
Приложения:

Вас заинтересует
1 год назад
1 год назад
1 год назад
1 год назад
3 года назад
3 года назад
8 лет назад