Ответы
Ответ дал:
1
Ответ:
========================
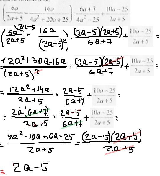
Пошаговое объяснение:
Приложения:

Ответ дал:
1
2а-5=2а-5
тождество доказано
Приложения:

Вас заинтересует
1 год назад
1 год назад
1 год назад
1 год назад
3 года назад
3 года назад
8 лет назад
8 лет назад