Ответы
Ответ дал:
1
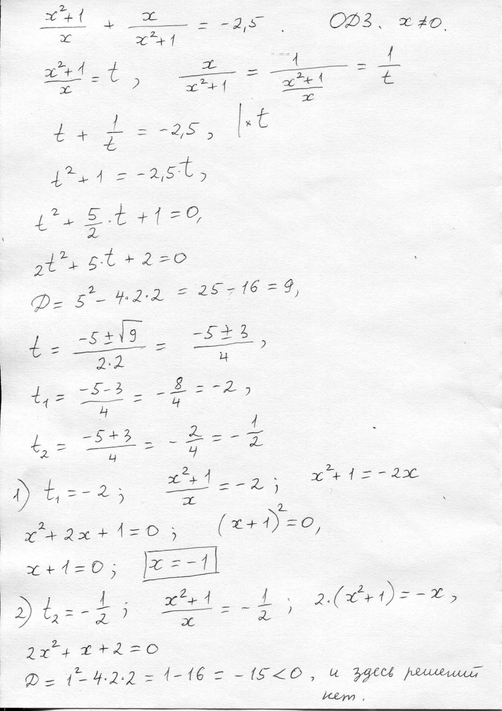
Ответ. -1.
Решение - см. прикреплённое изображение ===>>
Приложения:

Вас заинтересует
1 год назад
1 год назад
1 год назад
1 год назад
3 года назад
3 года назад
8 лет назад