• Предмет: Алгебра
  • Автор: cernenkovlada
  • Вопрос задан 2 года назад

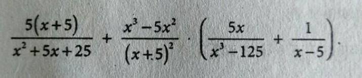
АЛГЕБРА 8 КЛАСС ПРОШУ ПОМОГИТЕ ПОЖАЛУЙСТА!!!​

Приложения:

Ответы

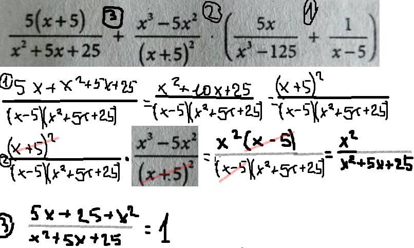
Ответ дал: lakOR555
1

Ответ:

см фото

Объяснение:

Приложения:
Вас заинтересует