• Предмет: Химия
  • Автор: kurkiewa201581
  • Вопрос задан 2 года назад

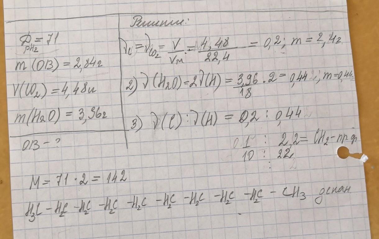
Относительная плотность паров органического соединения
по водороду равна 71. При сжигании 2,84 г этого вещества образуется
4,48 л диоксида углерода (н. у.) и 3,96 г воды. Выведите молекулярную формулу органического соединения.
Объясните, пожалуйста, не получается решить


Аноним: есть решение этого задания
смотри дату 1 ноября

ссылка---> all-reshenie
сайт «математика физика химия матан термех сопромат»

Ответы

Ответ дал: Debussy
7

..........................

Приложения:
Вас заинтересует