• Предмет: Алгебра
  • Автор: Himyasha
  • Вопрос задан 2 года назад

Здравствуйте!
Помогите, пожалуйста, решить задание:
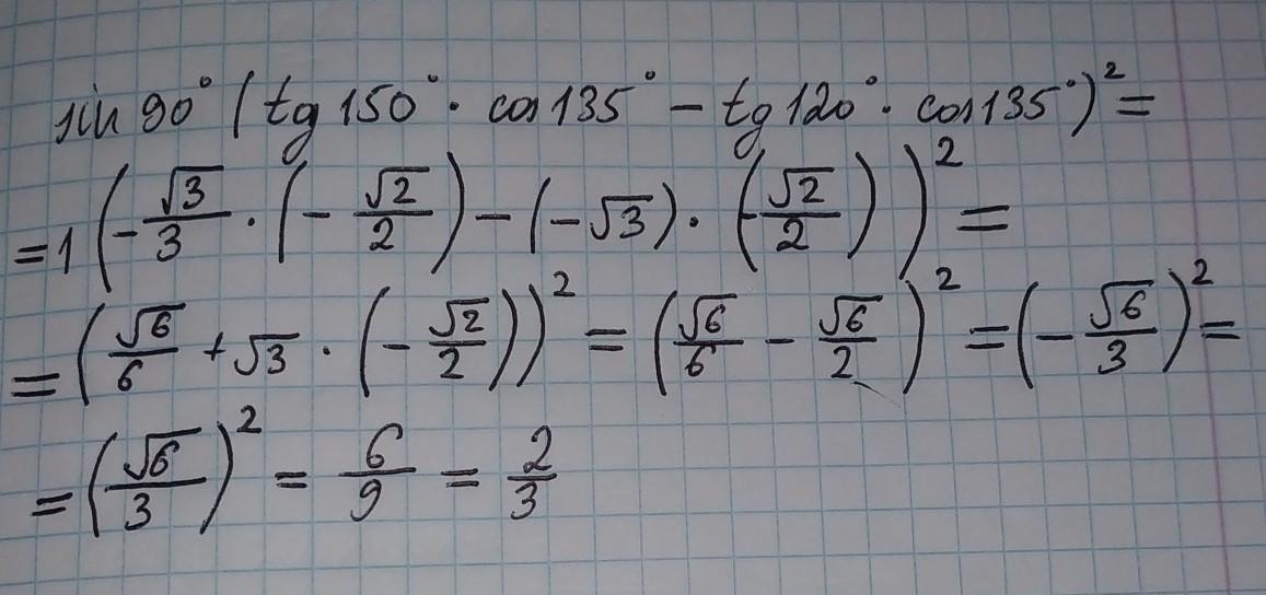
sin 90°( tg 150° × cos 135° - tg 120° × cos 135°)² = ....

Ответы

Ответ дал: VitalikMaksymchuk
8

Ответ:

2/3

Объяснение:

рисунок..............

Приложения:
Вас заинтересует