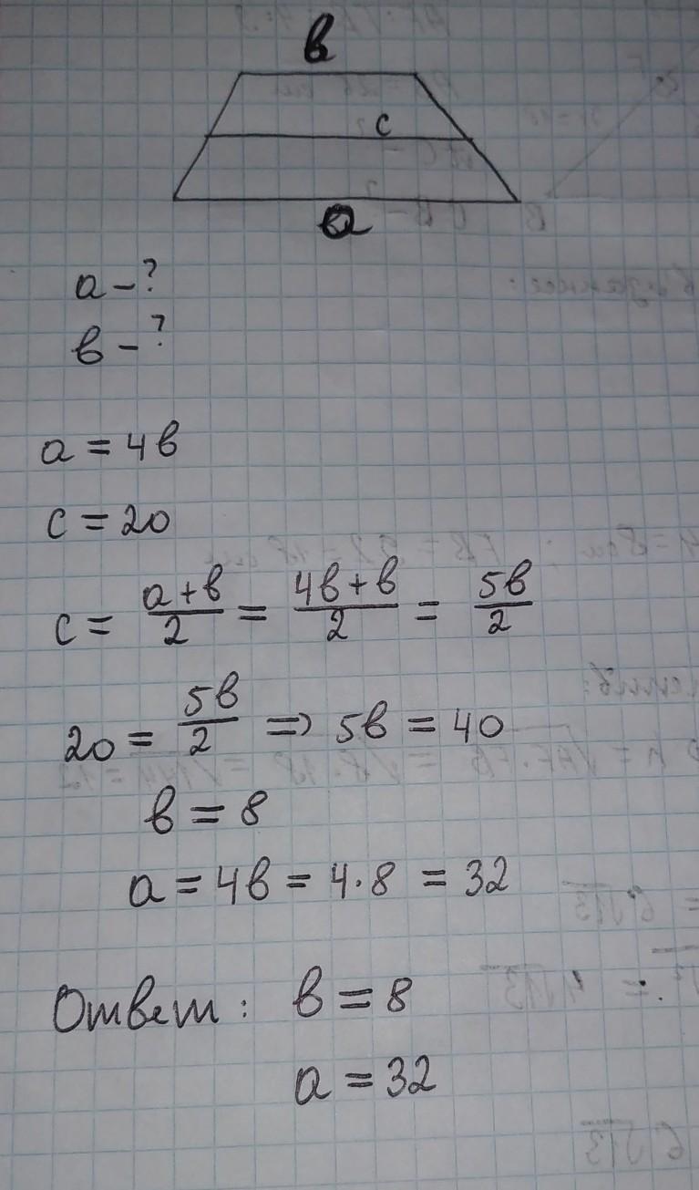
в трапеции меньшее основание в 4 раза меньше большего средняя линия трапеции равна 20 см найдите основания трапеции
Ответы
Ответ дал:
2
Ответ:
a=8
b=32
Объяснение:
рисунок........
Приложения:

Вас заинтересует
1 год назад
1 год назад
3 года назад