Ответы
Ответ дал:
1
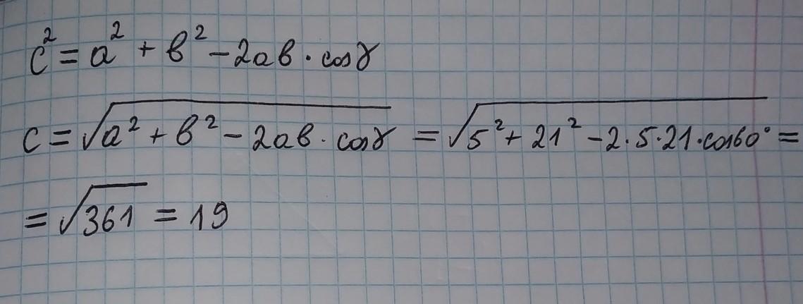
Ответ:
с=19
Объяснение:
рисунок.........
Приложения:

Вас заинтересует
1 год назад
1 год назад
1 год назад
1 год назад
3 года назад