• Предмет: Алгебра
  • Автор: lol4257
  • Вопрос задан 2 года назад

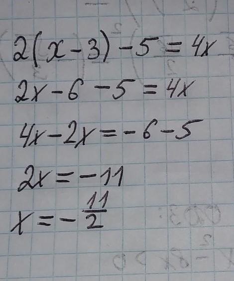
Пожалуйста, помогите решить уравнение
2(х-3)-5=4х​

Ответы

Ответ дал: VitalikMaksymchuk
1

Ответ:

х=-11/2

Объяснение:

...............

Приложения:
Ответ дал: sgegagig535
1

2(x - 3) - 5 = 4x \\ 2x - 6 - 5 = 4x  \\ 2x - 4x = 11 \\   - x = 11 \div 2 \\  x =  - 5.5

Вроде бы правильно

Вас заинтересует